Maternal Depression May Affect Infant Epigenetic Aging
Research By: Alonzo “Ted” Folger, PhD, MS | Katherine Bowers, PhD, MPH
Post Date: March 11, 2024 | Publish Date: March 11, 2024
Every Child Succeeds | Top Scientific Achievement
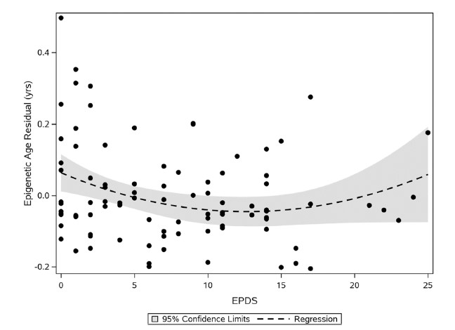
Infants of mothers with sub-clinical depressive symptoms had lower estimates of biological aging compared to infants of mothers with no-to-low depressive symptoms, according to research from a team of Cincinnati Children’s experts.
The study was based on data from 94 mother-child dyads who were supported by Every Child Succeeds, which was founded 25 years ago to provide home visits and early childhood development resources to first-time mothers in low-income households. The agency has provided services for more than 33,000 families.
The research, led by corresponding author Alonzo Folger, PhD, MS, and senior author Katherine Bowers, PhD, MPH, combined mental health data from mothers collected during pregnancy using the Edinburgh Postnatal Depression Scale (EPDS) and estimates of biological aging from an epigenetic clock based on DNA methylation measured within offspring buccal cells collected at 3–5 weeks of age.
“Biological age acceleration and deceleration estimates calculated from DNA methylation may serve as early markers of exposure to healthy and unhealthy environments and may help assess related risks of disrupted development and chronic disease,” Folger says.
An estimated 25% to 40% of mothers living in poverty have elevated signs of maternal depression, suggesting a potentially widespread impact upon child development. However, the relationships between maternal depression, poverty and biological aging appear complex. While infants of low-income mothers showed signs of decelerated aging when depressive symptoms were present, infants of low-income mothers without depressive symptoms showed accelerated aging.
“Both acceleration and deceleration may be relevant to healthy development. Our team is conducting a larger cohort study to investigate these relationships more deeply,” Folger says.
Cincinnati Children’s co-authors also included Lili Ding, PhD, Kimberly Yolton, PhD, Robert Ammerman, PhD, and Jennifer Frey, PhD. Collaborators also included an expert with the University of California Davis.
Explore the 2024 Research Annual Report
| Original title: | Association between maternal prenatal depressive symptoms and offspring epigenetic aging at 3-5 weeks |
| Published in: | Annals of Epidemiology |
| Publish date: | March 11, 2024 |
Research By





